
● 修改的术语定义:发酵酒、蒸馏酒、配制酒、啤酒、浑浊啤酒、生啤酒、浓色啤酒、黑啤酒、冰啤酒、低醇啤酒、无醇啤酒、小麦啤酒、果蔬汁型啤酒、果蔬味型啤酒、葡萄酒、半干葡萄酒、特种葡萄酒、起泡葡萄酒、低泡葡萄酒、利口葡萄酒、冰葡萄酒、贵腐葡萄酒、产膜葡萄酒、加香葡萄酒、脱醇葡萄酒、低醇葡萄酒、果酒(发酵型)、黄酒、传统型黄酒、清爽型黄酒、特型黄酒、白酒、混合曲酒、固态法白酒、液态法白酒、固液法白酒、浓香型、清香型、米香型、凤香型、豉香型、芝麻香型、特香型、浓酱兼香型、老白干香型、酱香型、白兰地、调配白兰地、麦芽威士忌、谷物威士忌、调配威士忌、朗姆酒、金酒
● 增加的术语定义:食用酿造酒精、谷物食用酿造酒精、薯类食用酿造酒精、糖蜜食用酿造酒精、其他食用酿造酒精、清亮啤酒、上面发酵啤酒、下面发酵啤酒、混合发酵啤酒、白啤酒、司陶特(世涛)啤酒、皮尔森(比尔森)啤酒、酸啤酒、工坊啤酒、白葡萄酒、桃红葡萄酒、红葡萄酒、含气葡萄酒、自然起泡葡萄酒、超天然起泡葡萄酒、绝干起泡葡萄酒、干起泡葡萄酒、半干起泡葡萄酒、甜起泡葡萄酒、低度葡萄酒、无醇葡萄酒、原生葡萄酒、果酒(配置型)、红曲酒、单一红曲酒、特型红曲酒、稻米黄酒、非稻米黄酒、兼香型、董香型、馥郁香型、固态(半固态)法白酒原酒、液态法白酒原酒、固液法白酒原酒、调香白酒、风味白兰地、水果蒸馏酒、风味威士忌、风味伏特加、风味朗姆酒、金酒(配制型)、龙舌兰酒、露酒
● 删除的术语定义:鲜啤酒、果蔬类啤酒、高泡葡萄酒、山葡萄酒、果酒(浸泡型)、植物类配制酒(植物类露酒)、动物类配制酒(动物类露酒)、动植物类配制酒(动植物类露酒)、其他类配制酒(其他类露酒)
白酒类变化值得关注
新增重点定义解读

食用酿造酒精
食用酿造酒精在饮料酒行业广泛使用,由于消费者对于食用酿造酒精的生产工艺存在一定的认知模糊,此次新增食用酿造酒精定义,并按照原料不同划分为:谷物、薯类、蜜糖类、其他食用酿造酒精。从定义可以直观的理解为食用酿造酒精是经过发酵而来的,而不是其他合成化工方法,这对于引导消费者的正确理解有着重要意义。
同时,也进一步规定了用于白酒的只能是谷物食用酿造酒精。这对于规范白酒行业使用食用酿造酒精有重要作用。

三个香型定义
对比2008版标准,此次新版国标中涵盖了中国白酒十二香型全部分类,新增了兼香型、董香型、馥郁香型白酒定义,这是首次在国家标准中涵盖完全。在此之前,董香型是地标,馥郁香型是地理标志产品。
中国白酒博大精深、悠久的酿造历史孕育出多香型白酒,百花齐放,这对于香型与传统工艺的传承与保护、新香型未来的融合与发展都有着重要意义。

白酒原酒
新版标准中,新增固态(半固态)法白酒原酒、液态法白酒原酒、固液法白酒原酒定义,更加规范原酒的生产与等级划分,完善了白酒工业术语。

调香白酒
调香白酒:以固态法白酒、液态法白酒、固液法白酒或食用酒精为酒基,添加食品添加剂调配而成,具有白酒风格的配制酒。
调香白酒已经从传统白酒、露酒中被剥离出,从属于配制酒行列,将其从“白酒”中剔除,利于保护“白酒”的纯粹性;是对于传统工艺的尊重与重视,更利于白酒行业传承传统的酿造技艺;也将更加严格规范白酒及露酒的生产、食品添加剂的使用。
分类划分解读

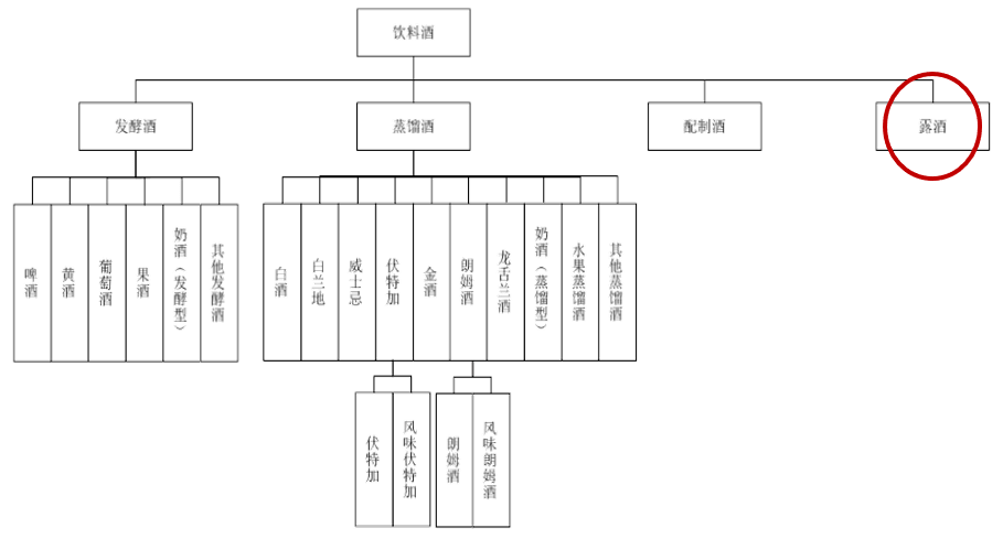
露酒新高度
露酒:以黄酒、白酒为酒基,加入按照传统既是食品又是中药材或特定食品原辅料或符合相关规定的物质,经浸提和/或复蒸馏等工艺或直接加入从食品中提取的特定成分,制成的具有特定风格的饮料酒。
在标准中,饮料酒一级分类增加了“露酒”,从原本的三类变为四类。单独独立存在的露酒,是对于我国传统酒饮料的重视,进一步提升了露酒的市场定位。
露酒与配制酒为两个平行定义,规范明确了两者的生产执行标准。

白酒分类法
白酒分别按照糖化发酵剂、生产工艺、香型进行了三类划分。
1、固态法白酒、液态法白酒和固液法白酒均明确规定“不直接或间接添加非自身发酵产生的呈色呈香呈味物质”,即不能使用食品添加剂;对于添加了食品添加剂的“白酒”新增了“调香白酒”的定义,并将其归类为了“具有白酒风格的配制酒”,有利于保护消费者权益,避免“鱼目混珠”。

2、香型白酒的定义更加强调传统工艺所用的曲、发酵容器、工艺过程等,对食用酒精和添加剂有了更为严格的限制,且不再强调各个香型白酒的主体香。这是对于传统工艺的尊重与重视,更利于白酒行业传承传统的酿造技艺。
**
修订意义
1、企业在设计固液法白酒和液态法白酒时只能按照要求,使用谷物食用酿造,不能使用食品添加剂,这对规范食用酒精和添加剂有重要作用。
2、从行业层面,白酒两个比较敏感的词是食品添加剂、食用酒精,通过标准进一步规范食用酒精和食品添加剂的使用,可以让行业更加健康地发展。
3、从消费层面,可以让消费者更加放心和明白酒消费,利于逐步纠正消费者对食用酒精、食品添加剂、液态法白酒和固液法白酒的片面认识。
4、将食品添加剂从“白酒”中剔除,利于保护“白酒”的纯粹性,更利于白酒行业传承传统的酿造技艺。
5、对标准及时进行调整和完善,使标准更加科学、严谨、合理,充分反映我国白酒行业发展新情况、新形势,保障白酒行业持续、健康、有序发展;
6、标准的修订将进一步完善白酒技术标准体系,促进对白酒行业传统酿造技艺的保护,并鼓励行业创新。
**
企业影响
1、需要进一步消化术语等新近出台的各个白酒行业相关标准;
2、根据最新的术语定义和产品标准开发新的产品;
3、注意对产品标签标识进行调整;
4、对于液态法白酒、固液法白酒执行标准需要等待修订或制定企标;
5、现在生产的产品在标准执行后被抽检,执行当前的标准。
总结
愈加细分与严格的标准是督促行业正向发展的指针,从业者、监管者、消费者都将从中更加明白生产、明白监督、明白消费!